An Effective Cell Coculture Platform Based on the Electrospun Microtube Array Membrane for Nerve Regeneration

Abstract
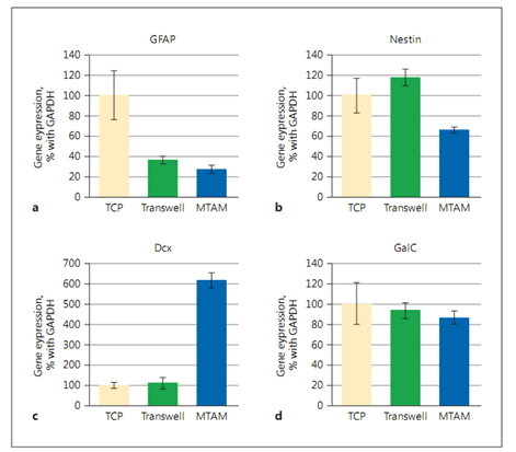
Recently, a novel substrate known as an electrospun polylactic acid (PLLA) microtube array membrane (MTAM) was successfully developed as a cell coculture platform. Structurally, this substrate is made up of one-to-one connected, ultrathin, submicron scale fibers that are arranged in an arrayed formation. Its unique structure confers several key advantages which are beneficial in a cell coculture system. In this study, the interaction between rat fetal neural stem cells (NSC) and astrocytes was examined by comparing the outcome of a typical Transwell-based coculture system and that of an electrospun PLLA MTAM-based coculture system. Compared to tissue culture polystyrene (TCP) and Transwell coculture inserts, a superior cell viability of NSC was observed when cultured in lumens of electrospun PLLA MTAM (with supportive immunostaining images). Reverse transcription polymerase chain reaction revealed a strong interaction between astrocytes and NSC through a higher expression of doublecortin and a lower expression of nestin. These data demonstrate that MTAM is clearly a better coculture platform than the traditional Transwell system.









Conclusion
The 3-D tubular structure, along with the thinner and porous wall of the MTAM, rendered it an excellent substrate for the cell coculture platform. Clearly, the data demonstrated that NSC cultured using the electrospun PLLA MTAM were the most developed (as evident based on the RT-PCR data) compared to the other convention-ally available options (TCP and Transwell coculture insert). This will be even more significant for in vitro coculture study of cells which constitute a circular/directional tissue structure in human organs such as neuron, vascular, and renal tubules.

